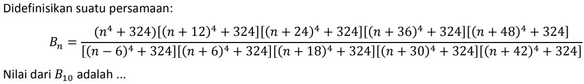
Try Out Matematika SMP (Paket 2) Leave a Comment / By setraajinata.com / 29 May 2024 Ketentuan: Isilah nama lengkap dan email aktif dengan benar pada kolom dibawah. Ketentuan poin. Benar = 5 poin, salah = -1 poin, tidak menjawab = 0. Memutuskan tidak menjawab dapat dilakukan dengan tidak memilih salah satu jawaban yang tertera atau gunakan pilihan "Tidak menjawab" pada opsi yang tersedia. Waktu pengerjaan adalah 90 menit. Nama Lengkap Email Soal 1. 2016 2017 2018 2019 Tidak Menjawab None Soal 2. 295 373 417 434 Tidak Menjawab None Soal 3. 2 : 3 3 : 2 3 : 4 4 : 3 Tidak Menjawab None Soal 4. 7 / 72 1 / 36 7 / 36 11 / 144 Tidak Menjawab None Soal 5. 1/4 3/4 6/4 2 Tidak Menjawab None Soal 6. A B C D Tidak Menjawab None Soal 7. 3 4 5 6 Tidak Menjawab None Soal 8. 10 11 12 13 Tidak Menjawab None Soal 9. 2 : 7 3 : 5 4 : 3 7 : 3 Tidak Menjawab None Soal 10. 71/128 84/256 93/256 101/512 Tidak Menjawab None Soal 11. 441/40 395/32 313/26 276/17 Tidak Menjawab None Soal 12. 1110 1075 1001 950 Tidak Menjawab None Soal 13. 28 30 32 36 Tidak Menjawab None Soal 14. A B C D Tidak Menjawab None Soal 15. 1 2 3 4 Tidak Menjawab None Soal 16. 164 172 181 193 Tidak Menjawab None Soal 17. -1 0 1 2 Tidak Menjawab None Soal 18. A B C D Tidak Menjawab None Soal 19. 10 12 14 16 Tidak Menjawab None Soal 20. 580 590 600 610 Tidak Menjawab None